ジャブコンⅡJFJ 200W
短機長ベルト脱着タイプ 高速仕様
〈インダクションモータ〉
ベルトを簡単に外せる短機長コンベヤ。

各種アイコンについて

仕様
|
- |
|
※色文字 は準標準です。
![]() |
機種記号 | JFJ(センタドライブ ベルト脱着) | ||||||||||
|---|---|---|---|---|---|---|---|---|---|---|---|---|
![]() |
呼称幅 | 10 | 15 | 20 | 25 | 30 | 35 | 40 | 50 | 60 | ||
| BW 実ベルト幅(mm) | 95 | 145 | 195 | 245 | 295 | 345 | 395 | 495 | 595 | |||
| FW フレーム幅(mm) | 145 | 195 | 245 | 295 | 345 | 395 | 445 | 545 | 645 | |||
![]() |
機長(cm) | 横出し | MIN.35~MAX.90 | MIN.呼称幅~MAX.90 | ||||||||
| 下付き | ー | MIN.35~MAX.90 | MIN.呼称幅~MAX.90 | |||||||||
| 機高(mm) | 550≦機高≦1,000 | |||||||||||
| 標準ベルト | 樹脂製蛇行防止桟付きベルト(1プライ) | |||||||||||
| エンドプーリ径(mm) | φ34 | |||||||||||
![]() |
駆動部タイプ ※1 | H:横出し(中空軸) D:下付き(平行軸) | ||||||||||
![]() |
駆動部の取付方向 ※1 | R:搬送方向右側 L:搬送方向左側 | ||||||||||
![]() |
速度記号 | 「速度記号/ コンベヤ速度表」をご参照ください | ||||||||||
![]() |
コントローラの取付方向 ※1※2 | R:搬送方向右側※3 L:搬送方向左側※3 T:コントローラ無し※4 | ||||||||||
![]() |
モータ出力 | N:定速 | 09:90W(IP65防水モータ) | |||||||||
| F:インバータ変速 | ||||||||||||
![]() |
入力電源 | Z:200V三相 | ||||||||||
| 搬送質量 ※5 | MAX.15kg/台 | |||||||||||
- 詳細はこちらでご確認ください
- 駆動部の取付方向と反対側に取付となります。
- 呼称幅10または機高700mm未満の場合、コントローラは別置きとなります。
- T:コントローラ無しは、N:定速のみ適用します。
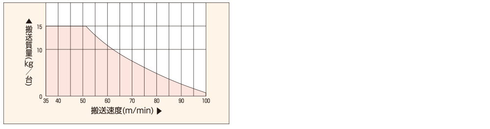
- 搬送質量は速度により変動します。「搬送質量の目安」をご参照ください。
- 転倒防止のため、アンカー固定または前後装置と連結してご使用願います。
寸法図

搬送質量の目安
下記グラフは定速分散荷重時の搬送質量を表します。

- 1.変速仕様の場合、搬送速度が最大速度の1/3になると、搬送質量は最大速度時の40%に低下します。
2.上記グラフは呼称幅60、機長60cm時の搬送質量を表します。
速度記号/コンベヤ速度表

- 1.表は50%負荷時の公称速度を表します。
2.定速及び変速のインバータ方式の速度は、負荷により±10%程度変動します。

JFJ
20
D
R
35
F50
L
20
Z